青年是多少岁到多少岁

青年是多少岁到多少岁

根据联合国的国际青年规定,一般是指15岁到24岁之间的人。现在世界卫生组织对于年龄分段又有了新的定义,将青年的年龄上限大大提高到44岁,也就是青年是指15岁到44岁之间的年轻人。在中国对于青年有很多的称呼,比如后生等...

护士胸前挂的是什么

护士胸前挂的是什么

我们大家都是在日常生活中都非常注意观察身边的一些事情,很多人都注意到护士胸前佩戴着一个东西,那么护士胸前到底佩戴着的是什么东西呢?接下来,我们就来介绍一下护士胸前到底佩戴的都是什么东西。其实,护士胸前佩戴的牌子表示的...

颜色的英文

颜色的英文

提起颜色相信大家都挺熟悉的,毕竟现在这个世界非常多彩,平常经常都会接触到各种不同颜色的东西,总是会被各种不同的颜色给吸引住目光,那么颜色的英文是什么呢?颜色的英文是colour ,不过颜色包含的类型比较多,英文也是会...

废金属是什么垃圾

废金属是什么垃圾

废金属是可回收垃圾。【什么样的垃圾叫可回收垃圾】什么是可回收物?可回收物指适宜回收利用和资源化利用的生活废弃物。主要有:废包装物、废旧纺织物、废弃电器电子产品、废玻璃、废纸、废弃塑料瓶、废金属、废纸塑铝复合包装等。【...

跟个风是什么意思

跟个风是什么意思

跟个风并不是字面意思,跟着一个风走。而是在一群人聊天时,上一个人做出一个动作或者发出什么消息之后,下一个人做出了同样的动作或发表意思类似的言论,这种行为称为跟风。跟个风是最近流行起来的网络语言,属于一种行为。跟风这种...

坛城有几种

坛城有几种

我们平时所说的坛城在汉语中叫做“中围”,在印度的梵语中被唤作曼陀罗。它起源于印度,后来传入中国,在印度的梵语中被叫做曼陀罗,是印度佛教净土的象征,也就是佛的“家”,坛城现在一般都是以画卷的形式面像世人的,一般可以分为...

节能灯泡属于有害垃圾吗

节能灯泡属于有害垃圾吗

1.节能灯泡属于有害垃圾。2.因为节能灯含有汞,也就是水银,是一种我们都非常熟悉的金属物质。汞是一种剧毒物质。如果大量汞泄漏,不仅会污染环境,对人也有很大的伤害。如果人体吸入一定量的汞蒸气或者接触了汞,会出现头晕、恶...

偌大与诺大的区别

偌大与诺大的区别

偌大与诺大的区别就在于字的不同,一个是单人旁,一个是言字旁,还有就是词汇的解释上不同,其他都是差不多的。现在的网络词汇只要一被认可和接受,就会以飞一般的速度进行传播和使用。在现在的快速发展的时代,很多人都习惯性用缩写...

玉米是干垃圾吗

玉米是干垃圾吗

不是,属于厨余垃圾(湿垃圾)。玉米芯才属于干垃圾(其他垃圾)。干垃圾:即其他垃圾,是指除可回收物、有害垃圾、湿垃圾以外的其它生活废弃物。干垃圾主要包括:餐盒、餐巾纸、湿纸巾、卫生间用纸、塑料袋、玻璃、食品包装袋、污染...

GraSS是什么意思

GraSS是什么意思

在英文当中,我们通常会见到很多的单词,英文的句子,就是有很多单词组成的,我们只要了解了句子当中的单词的意思,那么了解整个句子的意思就不在话下了,所以我们在学习英语单词的时候就要掌握好这些单词,这样我们在后续理解句子的...

杭州有哪些大学

杭州有哪些大学

杭州的大学有很多,比如浙江大学、杭州电子科技大学、浙江工业大学、浙江理工大学、杭州师范大学、中国美术学院等等,都是很好的大学,属于重本之列,有些甚至是985或者是211。另外,杭州的学术气息很浓,是一个很好的求学之地...

赤潮自走棋利息怎么计算

赤潮自走棋利息怎么计算

赤潮自走棋从上线后非常受玩家的欢迎,很多玩家可能还不太清楚赤潮自走棋利息怎么计算,下面为大家带来了赤潮自走棋利息计算方式一览,感兴趣的玩家一起来看看吧。1、赤潮自走棋利息每轮比赛固定收获的金钱是5,如果赢得该轮额外加...

娘惹是什么意思

娘惹是什么意思

娘惹就是说马来人和中国人结婚之后所生育出来的后代,也就是属于土生华人,如今在新加坡和马六甲比较多,他们的文化就是在马来和中国这两种之间,因此有些特别。就在这部剧中,能够更好的了解到当时年代的生活环境,背景,还有服饰等...

热水器绿灯红灯意思

热水器绿灯红灯意思

现在热水器上大多数都着有不同颜色的指示灯来告知人们热水器正在进行的工作。热水器上的红灯亮一般是指热水器正在处于加热中,绿灯亮等则一般是指加热完成,可以进行使用了。当然,这是在热水器没有出现故障,可以正常使用的时候。如...

万圣节和韶羞的区别

万圣节和韶羞的区别

万圣节和韶羞的区别在于植物肉身上的一些微妙差距,万圣节植物本体一遇到光就会比韶羞更快更亮,而韶羞反应速度则会差万圣节一大截。这是因为两个植物的叶绿素和植物机能不同,才会产生这种现象,而且很容易分辨。还有一种区别是老叶...

枯萎的绿植是什么垃圾

枯萎的绿植是什么垃圾

属于厨余垃圾(湿垃圾)。厨余垃圾:也叫湿垃圾,指居民日常生活及食品加工、饮食服务、单位供餐等活动中产生的垃圾。主要来源为家庭厨房、餐厅、饭店、食堂、市场及其他与食品加工有关的行业。厨余垃圾主要包括:包括丢弃不用的菜叶...

诗鬼是指哪位诗人,为什么

诗鬼是指哪位诗人,为什么

诗鬼是指诗人李贺,他是唐代杰出的浪漫主义诗人。他的诗风十分空灵飘逸,而且对未来充满想象以及憧憬,所以他被称作诗鬼。唐代诗人辈出,能真正名传千古的仅有几人,而李贺是其中一个已经很厉害了。它与诗仙李白,诗圣杜甫,诗佛王维...

女生皮肤白很显眼吗

女生皮肤白很显眼吗

一白遮百丑是我们经常听到的一句老话,意思是一个人如果皮肤白的话,就可以让别人自动忽略掉她的其他缺点。其实这句话不是没有道理的,皮肤白嫩的女生在人群中确实是比较显眼的,那么如果不是天生白皮的女生该怎样变白呢?首先,最重...

趣步复投是什么意思

趣步复投是什么意思

趣步复投的意思是拿固定的本金去赚更多的利息。趣步是一款自称靠走路就可以赚钱的软件,发行于2018年的年底。趣步软件以一种全新的理念面对运动,前期收到了很多好评,而且也收获了很多忠实用户,软件下载量也是一直很高。但是随...

小心机是什么意思

小心机是什么意思

由于每个人的成长环境不同,所以每个人的性格差异比较大的,有些男生在对人对事的时候是比较真诚的,而有些男生对人对事的时候不够真诚,可能说话都拐弯抹角的,一般我们会说这样的人有心机,那么小心机是什么意思呢?其实小心机的意...

钢铁直女说话方式是什么

钢铁直女说话方式是什么

随着社会的进步,会发现有很多新名词出现,比如说直男以及直女。钢铁直女一般是没有对象的,因为没有一个异性能够接受她们的说话方式。钢铁直女说话方式:说话非常的直接,没有任何婉转的余地。当别人对她有好感的时候,回复特别耿直...

干锅排骨是什么垃圾

干锅排骨是什么垃圾

1、排骨是属于湿垃圾。2、湿垃圾收集后可利用微生物进行堆肥、厌氧消化处理或制备生物燃料,而干垃圾收集后便于后续工作人员从中挑出可利用的物质,剩下的垃圾进行填埋或焚烧处置。3、干湿分类只是我国推广垃圾分类的一个初步阶段...

退热贴是什么垃圾

退热贴是什么垃圾

退热贴是干垃圾。【干垃圾的定义】除可回收垃圾、有害垃圾、湿垃圾以外的其它生活废弃物均指干垃圾。常见干垃圾有:创口贴、餐巾纸、内衣裤、纸尿裤、烟蒂、胶带、旧毛巾等难以回收的废弃物。【怎么投放干垃圾】1.某些生活垃圾难以...

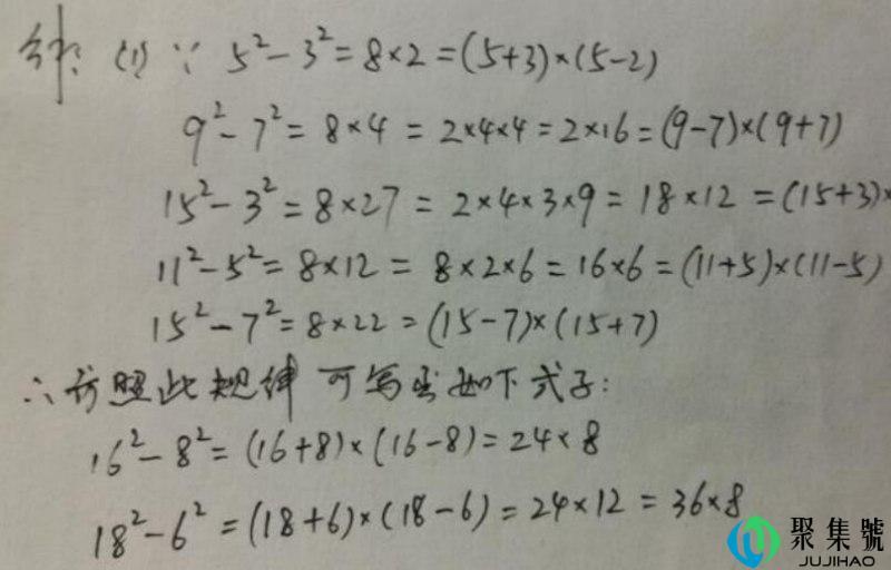
平方差公式

平方差公式

数学是我们从小需要接触的,从上幼儿园开始认识阿拉伯数字,慢慢的开始学习越来越复杂的一些数学公式,其中平方差公式应该是上学的时候小学就能够接触到的,而平方差的公式是,a2-b2=(a+b)(a-b)。平方差公式其实是比...

重庆西永在哪里

重庆西永在哪里

重庆西永是一个比较大的地方,重庆西永的综合保税区已经通过了国家的检测标准,成为中国大陆第一个综合保税区,它集中分布在两个地方,一个是西永镇,一个是陈家桥镇。重庆西永的具体位置大概在重庆市沙坪坝区赖白路附近,因为不知道...

废充电电池属于什么垃圾

废充电电池属于什么垃圾

1、充电电池属于有害垃圾,有毒垃圾,不可回收垃圾。2、因为电池中含有汞、镉、铅、锌等重金属有毒物质,对人体健康和自然环境会造成危害,所以充电电池属于有害垃圾。有害垃圾主要包括:废电池(充电电池、铅酸电池、镍镉电池、纽...

面团太油会影响发酵吗

面团太油会影响发酵吗

揉面团是一门很深的学问和艺术,我们在日常揉面团的时候一般会加点油来润滑一下,让面团更加好揉,但是有人就想问揉面团的时候加太多油会不会影响发酵,其实并不会,担心是多余的,加油只会让面团增加可塑性。揉面团的时候加入一些油...

宜兴是几线城市

宜兴是几线城市

宜兴是三线城市。宜兴市简称宜,是江苏省的一个县级市,现在由无锡市代管。宜兴虽然只是三线城市,但是宜兴人民的经济水平赶超大部分的二线城市了。宜兴市还是一个教授之乡,而且是一个乡音软糯的地方。宜兴笃悠悠,依山傍水,人文非...

盐放多了怎么补救

盐放多了怎么补救

做菜的时候盐放多了可以放一点白开水调和一下,再煮几分钟就可以了。也可以在里面加上一点白醋和白糖,咸味自然就会淡很多,这些都是比较及时的补救措施。做菜放盐的时候可以单独把要放下去的盐盛在一个小勺子里面,再比划一下菜的分...

停电打什么电话

停电打什么电话

如果不是因为施工或者人为的原因大面积停电,而是只有自己一家停电的话,可以拨打电话95598进行咨询,看是不是因为欠费的原因而导致停电的,欠费的话及时交费用,电就会恢复了,而如果不是欠费的话那么就可能是因为电路出故障,...

最近发表

热门文章

热评文章

标签列表